- Details
- Category: Notions et Théorèmes

Le théorème de Bézout et de Bachet de Méziriac ..
L'histoire des mathématiques nous réserve bien des surprises, à qui doit-on vraiment le théorème dit de Bézout enseigné en terminale S ?
- Details
- Category: Notions et Théorèmes
Une histoire des statistiques
Les statistiques sont une composante essentielle des mathématiques modernes, mais quand sont-elles apparues ?
- Details
- Category: Notions et Théorèmes
Conjecture de Sierpiński
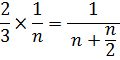
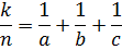
En théorie des nombres, la conjecture de Sierpiński suppose que pour tout entier \(n\geq2\), le nombre rationnel \(\dfrac5n\) peut être exprimée comme la somme de trois fractions unitaires.
Le mathématicien polonais Wacław Franciszek Sierpiński (1882 - 1969) a formulé cette conjecture en 1956.

Plus formellement, cette conjecture affirme que, pour tout entier \(n\geq2\), il existe des entiers positifs a, b et c tels que :
![]()
Cela permet de décomposer \(\dfrac5n\) en fractions égyptiennes.
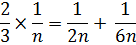
- Par exemple, pour \(n = 9\) :
![]()
- Par exemple, pour \(n = 13\) :
![]()
Généralisation
Pour avoir tous les théorèmes de décomposition en fractions unitaires, consultez la page : les fractions égyptiennes.
- Details
- Category: Notions et Théorèmes
Conjecture de Erdos–Straus ou Erdős–Straus
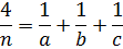
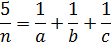
En théorie des nombres, la conjecture de Erdős–Straus (ou Erdos–Straus) suppose que pour tout entier \(n \geq 2\), le nombre rationnel \(\dfrac4n\) peut être exprimé comme la somme de trois fractions unitaires.
Cela permet donc de décomposer 4/n en fractions égyptiennes, et ce, avec le moins de fractions (distinctes) possibles.
Paul Erdös et Ernst G. Straus ont formulé la conjecture en 1948. C'est l'une des nombreuses conjectures émises par Erdős.
Plus formellement, cette conjecture affirme que, pour tout entier \(n \geq 2\), il existe des entiers positifs a, b et c tels que :
![]()
- Par exemple, pour \(n = 5\), il ya deux solutions :
![]()
Paul Erdos et Ernst G. Straus
Paul Erdos (1913 – 1996)

Paul Erdos (1913 – 1996) était un mathématicien hongrois, installé aux Etats-Unis pendant le seconde guerre mondiale pour fuir les persécutions des Nazis. Il est l'un des mathématicien les plus prolifique de son temps, publiant plus de 1 500 "articles scientifiques".
Ernst Gabor Straus (1922 – 1983)

Ernst Gabor Straus (1922 – 1983) était un mathématicien allemand, installé en 1933 à Jérusalem pour fuir les Nazis, puis aux États-Unis.
=> Biography
Les recherches actuelles
Le professeur Allan SWETT, de l'université d'Indianapolis (USA), indique que la conjoncture de Erdos-Strauss, nommée ESC(n), est vraie pour tous les entiers \(n\) de 1 à 1014. Soit pour 100 000 milliards d'entiers !
Évidemment, cela n'est pas suffisant pour prouver qu'elle est vraie pour tous les entiers \(n\) , la démonstration résiste encore, à ce jour, à tous les mathématiciens.
Généralisation
Pour avoir tous les théorèmes de décomposition en fractions unitaires, consultez la page : les fractions égyptiennes.
Sources
- Allan Swett home page.
- Allan Swett : résultats de recherches.
- [KW91] : V. Klee and S. Wagon. Old and New Unsolved Problems in Plane Geometry and Number Theory. Math. Assoc. of America, 1991, pp. 175177 and 206208.
- http://csi.usc.edu/faculty/golomb-pub.html
- Solomon W. Golomb : "An Algebraic Algorithm for the Representation Problems of the Ahmes Papyrus", The American Mathematical Monthly, Vol. 69, No. 8, October, 1962.
- Details
- Category: Notions et Théorèmes
Les Fractions égyptiennes
Définition
Une fraction égyptienne est une somme de fractions unitaires, c'est-à-dire de fractions qui ont des numérateurs égaux à un et des dénominateurs entiers positifs, avec ces dénominateurs tous différents les uns des autres.
Il peut être montré que tous les nombres rationnels positifs peuvent être écrits sous cette forme et ce, d'une infinité de façons différentes.
Par exemple : \(\dfrac25=\dfrac15+\dfrac16+\dfrac{1}{30}\) est une fraction dite égyptienne.
Toute la question est alors :
- de savoir trouver cette décomposition en fractions unitaires,
- et de trouver le nombre minimal de fractions permettant cette décomposition.
Histoire
La Numération égyptienne
Les Egyptiens, vers 1 600 av. J.-C., utilisaient deux systèmes d'écriture.
- L'un, hiéroglyphique, utilisé sur les monuments et les pierres tombales, est d'ordre pictural. Chaque symbole, représente un objet.
La numération hiéroglyphique est à base 10, non positionnelle. - L'autre, hiératique, une langue en signes cursifs bien plus pratique d'utilisation que les célèbres hiéroglyphes.
La numération hiératique est aussi décimale, mais des signes spéciaux supplémentaires évitent la répétition des symboles du système hiéroglyphique.
: pour le 1 ;
: pour 10 ;
: pour 100 ;
Par exemple le nombre 232 s'écrit : ![]()
![]()
![]()
![]()
![]()
![]()
![]()
=> Pour en savoir plus, consultez la page dédiée à la numération égyptienne.
Le Papyrus de Rhind
Cette écriture hiératique prédomine sur les papyrus, qui sont la principale source de renseignements sur les mathématiques égyptiennes.
Les plus célèbres sont :
- Le Papyrus de Moscou, écrit vers 1 850 av. J.-C et découvert en 1893 par le russe Vladimir Semionovitch Golenichtchev (1856-1947). Conservé au Musée des Beaux-arts de Moscou.
- Le Rouleau de cuir des mathématiques égyptiennes. Mis à plat en 1927, il comporte 26 additions de fractions unitaires. Il est conservé au British Museum de Londres, n° 10 250.
- Et surtout, le célèbre Papyrus de Rhind, datant de 1650 avant notre ère et conservé au British Museum de Londres.
=> Pour en savoir plus, consultez la page dédiée au Papyrus de Rhind.
Écrit en hiératique, le papyrus Rhind comporte une introduction, une table de décomposition de fractions de type \(\dfrac2n\), et une liste de 86 problèmes avec leurs solutions.
Ecriture des fractions
En dehors des entiers, les égyptiens ne concevaient que des fractions unitaires (de numérateur 1).
Ils admettaient que des fractions puissent avoir un numérateur différent de 1, ils refusaient de les manipuler et de calculer avec.
En outre, exceptés \(\dfrac23\) et \(\dfrac34\) (nous verrons pourquoi \(\dfrac23\)), qui étaient représentés chacun par un hiéroglyphe spécial, ils n'avaient de symbole que pour les fractions de numérateur un.
Les Égyptiens utilisaient pour exprimer ce type de fractions un hiéroglyphe en forme de bouche sous lequel ils plaçaient un nombre en guise de dénominateur.
- Trois symboles spéciaux :
: \(\dfrac34\) ;
: \(\dfrac12\) et
=\(\dfrac23\) - Le symbole marquant la fraction unitaire (de numérateur 1) :

Par exemple pour \(\dfrac14\) : Voir aussi sur le bas relief de temple de Kôm Ombo ci-dessous.
![]()
![]()
Par exemple pour \(\dfrac13\) :
![]()
Par exemple pour \(\dfrac{1}{325}\), si le dénominateur devenait trop large, la "bouche" était placée juste au début du dénominateur :
![]()
![]()
![]()
![]()
![]()
![]()
![]()
![]()
![]()
![]()
![]()
Un exemple : Le temple de Kôm Ombo
On peut voir sur ce relief du temple du temple de Kôm Ombo, situé à 165 km au sud de Louxor, une représentation de plusieurs fractions dont celle de \(\dfrac14\).
Les Fractions égyptiennes : Utilisation
Une fraction égyptienne est donc une somme de fractions unitaires, c'est-à-dire de fractions qui ont des numérateurs égaux à 1 et des dénominateurs entiers positifs, (avec ces dénominateurs tous différents les uns des autres).
L'arithmétique égyptienne s'organise autour de quelques règles (exposées dans les différents papyrus sous forme de tables) :
- La possibiliter de diviser ou multiplier par 2 un entier ;
- La décomposition de toute fraction en somme de fractions unitaires ;
- Le calcul aisé de \(\dfrac23\) de toute fraction unitaire en appliquant la formule :
![]()
Règle qu'ils simplifient quand le dénominateur est pair :

Décomposition en somme de fractions unitaires
Les scribes égyptiens proposent donc une décomposition de toute fraction en somme de fractions de numérateurs 1.
Est-ce toujours possible ? Oui !
Il peut être montré que tous les nombres rationnels positifs peuvent être écrits sous cette forme et ce, d'une infinité de façons différentes.
Il est facile d'exprimer toutes fractions par une somme de fractions unitaires si on autorise la répétition.
-
- Par exemple :
$$\dfrac37=\dfrac17+\dfrac17+\dfrac17$$
Mais si l'on exige que tous les dénominateurs soient distincts, comme le faisaient les Égyptiens, cela est moins aisé.
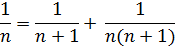
On dispose cependant d'un égalité bien pratique que connaissait dès 1202, le grand mathématicien italien du Moyen Âge Leonardo Fibonacci : (pour n strictement positif)
![]()
Ainsi, en appliquant la formule ci-dessus avec \(n=5\) par exemple on a :
$$\begin{align}\dfrac15&=\dfrac16+\dfrac{1}{5\times6}\\\dfrac15&=\dfrac16+\dfrac{1}{30}\end{align}$$
Et donc on peut conclure que :
$$\begin{align}
\dfrac25&=\dfrac15+\dfrac15\\\dfrac25&=\dfrac15+\dfrac16+\dfrac{1}{30}
\end{align}$$
En appliquant le même procédé à chacune des fractions unitaires de la décomposition, \(\dfrac25\) peut donc s'exprimer comme une multitude de fractions égyptiennes.
Par exemple, en décomposant maintenant \(\dfrac{1}{30}\) on obtient :
$$\begin{align}
\dfrac25&=\dfrac15+\dfrac16+\dfrac{1}{30}\\&=\dfrac15+\dfrac16+\dfrac{1}{31}+\dfrac{1}{30\times31}\\\dfrac25&=\dfrac15+\dfrac16+\dfrac{1}{31}+\dfrac{1}{930}
\end{align}$$
Recherche du nombre minimal de fractions dans la décomposition
Ce type de sommes a continué à fasciner nombre de mathématiciens prestigieux du moyen âge à nos jours.
Les mathématicien ont donc cherché nombre minimal de fractions dans la décomposition de \(\dfrac{k}{n}\).
$$\dfrac{k}{n}=\dfrac{1}{a}+\dfrac{1}{b}+\dfrac{1}{c} +\cdots$$
- En 1962, le mathématicien américain Solomon W. Golomb démontre que :
Toute fraction irréductible \(\dfrac{k}{n}\) peut se décomposer en une somme d'au plus k fractions unitaires distinctes. [Ref]
Le terme distinctes est essentiel, car sinon la décomposition \(\dfrac{k}{n}=\dfrac{1}{n}+\dfrac{1}{n}+\dfrac{1}{n} +\cdots+\dfrac{1}{n}\), avec \(k\) termes est évidente.
Décomposition des fractions de la forme \(\dfrac{2}{n}\)
Pour \(k=2\) dans la formule précédente, on peut décomposer la fraction en 2 frractions unitaires.
En effet, \(n\) sera impair (car la fraction est irréductible), et on pose alors \(n = pq\) avec :
-
-
- p et q deux entiers différents,
- p = 1 si n est premier,
- p = 1 si n est un carré parfait,
- par parité de n, on a p et q forcément impairs, et on applique la décomposition suivante :
-

Par exemple :

Décomposition des fractions de la forme \(\dfrac{3}{n}\)
Le résultat pour \(k = 3\), donc pour les fractions de la forme \(\dfrac{3}{n}\), est :
- qu'il existe une décomposition à deux termes, si et seulement si le reste de la division euclidienne d'un des facteurs de \(n\) par 3 est 2.
Soit \(n\) a un facteur congru à 2 mod 3, c'est à dire de la forme \(2 + 3k\) où \(k\) est un entier naturel.
Klee et Wagon [KW91] attribuent ce résultat N. Nakayama, mais ils ne fournissent aucune source.
- Dans le cas contraire, le théorème de Solomon W. Golomb prouve qu'il y a une décomposition en au plus \(k = 3\) fractions unitaires disctinctes.
On obtient par exemple :
- \(\dfrac{3}{25}=\dfrac{1}{10}+\dfrac{1}{25} ~~~~\text{on a : } ~25=5^2 ~\text{et } 5=3\times1+2\)
- \(\dfrac{3}{55}=\dfrac{1}{22}+\dfrac{1}{110} = \dfrac{1}{20}+\dfrac{1}{220} ~~~~\text{on a : } ~55 = 5\times11 ~\text{et } 5 = 3\times1+2~\text{et } 11 = 3\times3 +2\) .
- \(\dfrac{3}{121}=\dfrac{1}{44}+\dfrac{1}{484} ~~~~\text{on a : } ~121=11^2 ~\text{et } 11=3\times3+2\)
Une preuve de ce théorème est disponible sur le site : http://www.ics.uci.edu
Décomposition des fractions de la forme \(\dfrac{4}{n}\) : la conjecture de Erdos-Strauss
Pour \(k = 4\), le théorème de Golomb nous dit qu'il existe une décomposition en 4 fractions unitaires distinctes, mais 1948, les mathématiciens Erdös et Strauss conjecturent que la fraction \(\dfrac{4}{n}\) peut se décomposer en au plus 3 fractions unitaires (non nécessairement distincts).
Plus formellement, cette conjecture affirme que, pour tout entier \(n\geq2\), il existe des entiers positifs a, b et c tels que :
![]()
=> Pour en savoir plus sur la conjecture de Erdős–Straus.
Décomposition des fractions de la forme \(\dfrac{5}{n}\) : la conjecture de Sierpinski
La version de cette conjecture pour \(k = 5\) a été établie par Waclaw Sierpinski, c'est la conjecture de Sierpinski.
Compléments
Une version généralisée de cette conjecture énonce donc que, pour tout \(k\) positif il existe un nombre \(N\) tel que, pour tout \(n\geq N\), il existe une solution en entiers positifs.
![]()
et la conjecture complète est due à Andrzej Schinzel.
La table de "deux" du Papyrus de Rhind
Le papyrus de Rhind comportait 87 problèmes, d'arpentage, d'arithmétique ou de géométrie, qui nécessitaient pour leur résolution, de savoir décomposer une fraction de la forme 2/n en somme de fractions unitaires (de numérateur 1).
Plusieurs tables de décomposition étaient à disposition des lecteurs et une de ces tables, la table dite "de deux", se trouve en première position sur le Papyrus de Rhind.
Elle répertorie les fractions dont le numérateur est 2 et dont le dénominateur varie de 3 à 101, et donne leur équivalent en somme de fractions unitaires.
- Pour avoir cette table de 2 : Le papyrus de Rhind
L'oeil d'Oudjat ou Oeil d'Horus
Dans l'imagerie de l'Égypte antique, l'Œil Oudjat est un symbole protecteur représentant l'Œil du dieu faucon Horus.
Selon une conjecture, partiellement invalidée, les parties de l'oeil d'Oudjat représenteraient des fractions unitaires.
=> Pour en savoir plus : L'oeil d'Oudja ou oeil d'Horus.
Sources
- [DaDaPe] : A.DAHAN-DALMEDICO/J.PEIFFER, Une histoire des mathématiques, Seuil, Paris, 1986.
- [TanHs30] : Tangente, Histoire des mathématiques de l'Antiquité à l'an Mil, HS n°30, Pole, Paris, 2007.
- [Guedj2] : Denis GUEDJ, L'empire des nombres, Découvertes Gallimard, Sciences.
- Allan Swett home page.
- Allan Swett : résultats de recherches.
- [KW91] : V. Klee and S. Wagon. Old and New Unsolved Problems in Plane Geometry and Number Theory. Math. Assoc. of America, 1991, pp. 175177 and 206208.
- http://csi.usc.edu/faculty/golomb-pub.html
- Solomon W. Golomb : "An Algebraic Algorithm for the Representation Problems of the Ahmes Papyrus", The American Mathematical Monthly, Vol. 69, No. 8, October, 1962.
- Details
- Category: Notions et Théorèmes
La formule d'Al-kashi.
Le théorème d'Al-Kashi est aussi appélé loi des cosinus ou encore théorème de Pythagore généralisé.
Ce théorème de géométrie relie dans un triangle, la longueur d'un côté à celles des deux autres et au cosinus de l'angle formé par ces deux côtés.
Il généralise ainsi le théorème de Pythagore aux triangles non rectangles.
Ce résultat est déjà connu du célèbre mathématicien grec Euclide dès le 3ème siècle av. J.-C. mais uniquement sous forme géométrique (sans la notion de fonction cosinus).
Cependant, assez étrangement, on lui associe en France uniquement, le nom du mathématicien perse Al-Kashi (14ème siècle) dès les années 1990 alors que les appellations théorème de Pythagore généralisé ou loi des cosinus étaient utilisées jusque-là. C'est ainsi d'ailleurs que l'on nomme cette propriété, dans tout le reste du monde !
Le théorème d'al-Kashi s'énonce de la façon suivante :

Soit un triangle ABC, dans lequel on utilise les notations usuelles exposées sur la figure ci-dessus.
a² = b² + c² - 2bc.cosÂ
- Details
- Category: Notions et Théorèmes
Les Groupes.
Définition.
Un groupe est un ensemble G muni d'une loi de composition interne * (lci) :
- La loi * est Associative,
- G admet un élément neutre pour *,
On le notera e. - Tout élément de G admet un symétrique pour *.
Notation et remarque :
- On appelle groupe le couple (G,*) et G est appelé ensemble sous-jacent du groupe (G,*).
Par abus de notation usuel, on désigne souvent un groupe (G,*) par la même lettre que son ensemble sous-jacent. - On appèle monoïde, un couple (G,*) qui vérifie les deux premières propriétés de la définition du groupe :
La loi * est Associative et G admet un élément neutre pour *. - Un groupe (G,*) est dit abélien ou commutatif si la loi * est commutative.
Sous-groupe.
1. Sous-groupe :
Soit H un sous-ensemble non vide de G, H est un sous-groupe de G si :
- H est stable par la loi * : Pour x et y de H, alors x*y
- L'élément neutre e appartient à H,
- H est stable pour l'inverse : Pour tout x de H, x-1 appartient à H.
- H est stable par la loi * : Pour x et y de H, alors x*y
2. Le sous-groupe engendré par une partie A de G.
- L'intersection de sous-groupes de G est un sous-groupe de G.
- On peut donc définir le sous-groupe engendré par une partie A de G:
- C'est le plus petit sous-groupe de G qui contient A,
- C'est aussi l'intersection de tous les sous-groupe de G qui contiennent A.
- On le note : <A>.
Ordre d'un groupe.
Ordre du groupe G.
Si (G,*) est un groupe fini, on appele ordre de G le cardinal de G :
Ordre de G = card G.
Ordre d'une élément de G.
L'ordre de x, élément du groupe G, est le plus petit entier non nul n tel que :
xn = e, où e est lélément neutre de G pour *.
Si un tel n n'existe pas, on dit que x est d'ordre infini.
Proposition.
- Si x ∈ G est d'ordre n fini : xm = e ⇒ n divise m. (Avec m∈ℕ*)
- Si x ∈ G est d'ordre n fini : <x> = {e, x, x²,..., xn-1 } et est isomorphe à (ℤ/nℤ,+).
- Si x ∈ G est d'ordre infini : <x> est isomorphe à (ℤ,+).
- Si G est fini, tout élément de G est d'ordre fini et cet ordre divise card G.
Groupe cyclique.
1. Définitions.
- Un groupe G est dit monogène si il existe g tel que :
G = <g> - Un groupe G est dit cyclique s'il est monogène et fini.
C'est à dire s'il est de la forme :
G = <g> = {e, g, g²,..., gn-1 }.
Avec n l'ordre de G (et de g).
2. Remarques.
- Tout élément d'un groupe monogène G = <g> est de la forme gn
où n est un entier. - Tout élément d'un groupe cyclique G = <g> d'ordre n, est de la forme gm
où m est un entier compris entre 0 et n-1. - Tout groupe monogène ou cyclique est abélien.
3. Propriétés.
- Tout sous-groupe d'un groupe monogène (respectivement cyclique) est monogène (respectivement cyclique).
- Un groupe monogène est isomorphe à (ℤ,+).
- Un groupe cyclique d'ordre n est isomorphe à (ℤ/nℤ,+).
Groupe Quotient.
1. Définition.
- Relation d'équivalence.
Si H est un sous-groupe de G, la relation ℛ définie par :
x ℛ y ⇔ x-1y ∈ H
Est une relation d'équivalence (Réflexive, symétrique et transitive).
- Classes d'équivalence.
- A tout a ∈ G, on associe sa classe d'équivalence : cl(a) = { g ∈ G | g ℛ a }
- Les classes d'équivalences sont les ensembles de la forme xH.
xH = { g ∈ G | ∃h ∈ H, g = xh }
- L'ensemble quotient.
- L'ensemble formé par les classes d'équivalence s'appelle le quotient de G par ℛ.
- L'ensemble quotient de G par cette relation, G/ℛ est noté : G/H.
2. Théorème de Lagrange,
du nom du mathématicien français LAGRANGE Joseph Louis (1736-1813).
Card G = Card H × Card G/H
3. Histoire.
Le terme groupe quotient fut introduit par le mathématicien allemand Otto Ludwig HÖLDER (1859-1937) en 1889, selon un document produit par le mathématicien anglais William Henry YOUNG (1863-1943) en 1893.
Sous-groupe distingué (ou normal).
Il est possible, sous certaines conditions, que l'ensemble quotient des classes à gauche, noté G/H, soit muni d'une structure de groupe, héritée de la structure de groupe de G.
Il faut pour cela que le sous-groupe H soit d'un type particulier, qu'il soit distingué dans G.
Définition d'un sous groupe distingué.
On dit que H est un sous-groupe distingué (ou normal) de G lorsque : ∀x ∈ G, xH = Hx.
On note alors : H⊳ G.
Remarque :
- Si G est commutatif, tous les sous-groupes de G sont distingués.
Histoire.
1770 : LAGRANGE Joseph Louis (1736-1813)
La première démonstration faisant intervenir l'idée de groupe revient au mathématicien français Joseph Louis LAGRANGE( 1736-1813) en 1770.
Ce dernier cherche à déterminer le degré de l'équation, à coefficients des fractions rationnelles en les polynômes symétriques élémentaires, satisfaite par une équation rationnelle. [Esco] p109
Le mot Groupe : GALOIS Évariste (1811-1832).
C'est le génial mathématicien français Évariste GALOIS (1811-1832) qui utilise pour la première fois le mot groupe.
Il entend par là, ce que nous appelons maintenant, le sous-groupe du groupe des permutations de l'ensemble des racines d'un polynôme.
Ce terme apparait dans :
“Mémoire sur les conditions de résolubilité des équations par radicaux”
(écrit en 1830 mais publié en 1846) Oeuvres mathématiques. p. 417. Cajori (vol. 2, page 83)
Galois n'a pas besoin de parler d'associativité, d'élément neutre ou d'inverse, seulement de loi interne par la nature même de ce groupe.
Groupe des substitutions.
Le mathématicien anglais CAYLEY Arthur (Richmond 1821-Cambridge 1895) généralise la notion de groupe de substitutions (étudiés par CAUCHY).
Il introduit entre 1849 et 1854 la notion de groupe abstrait avec la définition suivante :
Un groupe abstrait est un ensemble d'opérateurs qui agissent sur des éléments, et tel que le composé de deux d'entre eux est encore dans l'ensemble.
Il en propose comme exemple les quaternions (avec l'addition) et les matrices (avec la multiplication).
On voit bien que la notion de symétrique d'un élément manque dans cette définition qui, passe inaperçue, et il faut attendre le mathématicien allemand KRONECKER Leopold (1823-1891) en 1870 pour avoir une nouvelle tentative de définition abstraite.
La notion de groupe abstrait.
La forme abstraite de la définition du concept de groupe se construit au 20e siècle avec des définitions de Cayley (1854), de Kronecker (1870) de Weber (1882) de Burnside (1897) puis, en 1900 par le peu connu mathématicien américain James Pierpont (1866-1938).
La théorie des groupes est vraiment aboutie avec le livre de Burnside Théorie des groupes d'ordre fini publié en 1897.
Par la suite, l'ouvrage en deux volumes de Heinrich Weber (un étudiant de Dedekind) Lehrbuch der Algebra publié en 1895 et en 1896 est devenu un texte de référence. Ces livres ont influencé la génération suivante de mathématiciens pour faire de la théorie des groupes, sans doute, la théorie la plus importante des mathématiques du 20ème siècle.
C'est d'ailleurs au mathématicien allemand Heinrich WEBER (1842-1913) que l'on doit la définition actuelle de la notion de groupe. [Hauch]p85
Groupe Quotient.
Le terme groupe quotient fut introduit par le mathématicien allemand Otto Ludwig HÖLDER (1859-1937) en 1889, selon un document produit par le mathématicien anglais William Henry YOUNG (1863-1943) en 1893.
Références.
- [HaSu] : B. Hauchecorne et D. Surateau, Des mathématiciens de A à Z, Ellipse, Paris, 1996. p74
- [Esco] : Jean-Pierre ESCOFIER, Théorie de Gallois, Masson, Paris, 1997.
- [Hauch] : B. Hauchecorne, Les mots et les maths, Ellipse, Paris, 2003.
- [Groupe] : Histoire de la théorie des groupes : http://www-groups.dcs.st-and.ac.uk/~history/HistTopics/Development_group_theory.html
- Details
- Category: Notions et Théorèmes
Le Théorème de Feit et Thompson.
En théorie des groupes, le théorème de Feit et Thompson ou théorème de l'ordre impair, dit que :
- Tout groupe fini d'ordre impair est résoluble.
Ce qui équivaut à dire que :
- Tout groupe simple fini non commutatif est d'ordre pair.
Explications.
- Pour les notions de groupes :
Groupes, sous-groupe, ordre, groupe distingué, quotient ... - Un groupe fini d'ordre impair est un groupe G de cardinal impair.
- Un groupe fini G est dit résoluble
s'il possède une suite ( Gi )0 ≤ i ≤ r , finie décroissante de sous-groupes telle que :
- G0 = G ⊃ ... ⊃ Gr = {e} ;
- G i+1 soit un sous-groupe distingué de Gi pour 0 ≤ i ≤ r - 1 ;
- G i / G i+1 soit commutatif pour 0 ≤ i ≤ r - 1.
Applications.
Ce théorème et plus généralement la théorie des groupes, dont la figure historique mythique est le célèbre Évariste Galois, trouve des applications dans des domaines très variés dont la plus ancienne est la cristallographie.
La théorie des groupes permet d'interpréter les interférences provoquées par l'illumination d'un cristal par les rayons X afin d'en déduire la structure du cristal.
La théorie des groupes est aussi à l'origine du fameux rubik's cube pour lequel chaque manipulation est réversible.
Histoire.
Ce théorème, conjecturé en 1911 par William Burnside, fut démontré en 1963 par Walter Feit et John Griggs Thompson, dans une preuve de plus de 250 pages, ce qui était pour l'époque un évènement car la plupart des démonstrations ne dépassaient pas les 20 pages.
Le théorème lui-même et bon nombre de techniques que Feit et Thompson ont utilisé dans sa démonstration jouèrent un rôle important dans la classification des groupes.
En septembre 2012, une équipe jointe d'INRIA-Microsoft Research a annoncé la certification de la preuve par le logiciel Coq. — une preuve que la preuve est correcte.
Même si personne ne doutait du résultat mathématique, il s'agit d'un véritable exploit que d'arriver à décrire les lemmes, propositions et théorèmes multiples utilisés dans la démonstration globale et de coder des liaisons logiques.
Le code utilisé comporte d'ailleurs 170 000 lignes et il faut 1h40 pour le compiler.
Remarque : Le premier succès de ce type était la preuve de la validité de la démonstration du théorème des quatre couleurs.
Références.
- Annonce de l'INRIA.
- [Esco] : Jean-Pierre ESCOFIER, Théorie de Gallois, Masson, Paris, 1997.
- Details
- Category: Notions et Théorèmes
Le Théorème des Quatre Couleurs.
Le théorème des quatre couleurs énonce la possibilité de colorier (on dit aussi colorer en théorie des graphes) avec quatre couleurs seulement une carte géographique sans que deux pays voisins aient la même couleur.
Pour être plus précis, en n'utilisant que quatre couleurs différentes, il est possible de colorer n'importe quelle carte découpée en régions connexes (d'un seul morceau), de sorte que deux régions adjacentes (ou limitrophes), c'est-à-dire ayant toute une frontière (et non simplement un point) en commun reçoivent toujours deux couleurs distinctes.
Ainsi, chacune des régions doit recevoir une couleur différente si les régions sont deux à deux adjacentes.
Par ailleurs, il ne peut exister cinq régions connexes deux à deux adjacentes (c'est la partie facile du théorème de Kuratowski).
Application.
Ce théorème a une application pratique dans l'affectation par un opérateur mobile des fréquences GSM aux zones de couverture des stations de base de son réseau. En effet, comme dans la situation des quatre couleurs :
- un réseau GSM est modélisé, comme une carte géographique, par des hexagones contigus : chaque hexagone (appelé "cellule", d'où la notion de réseau cellulaire) correspond au rayonnement d'une station de base (environ 30 kms de diamètre en zone rurale).
- deux hexagones contigus ne doivent en aucun cas se voir attribuer la même bande de fréquences.
Histoire.
La première conjecture des quatre couleurs semble avoir été émise en 1852 par un mathématicien et botaniste Sud Africain, Francis Guthrie (1831 - 1899).
Francis Guthrie était étudiant à l'University College de Londres, où il y suivit les cours du célèbre De Morgan.
Il s'oriente ensuite vers des études de botanique, alors que son frère, Frederick Guthrie, devient mathématicien et suit aussi les cours de De Morgan.
Francis Guthrie remarque qu'il lui suffit de quatre couleurs pour colorer la carte (pourtant complexe) des cantons d'Angleterre, sans donner la même couleur à deux cantons adjacents (ayant une frontière commune).
Il demande alors à son frère Frederick, si cette propriété ne serait pas vraie en général pour toute carte plane ; celui-ci communique la conjecture à De Morgan, et en 1878 Cayley la publie.
- Dès 1879, Kempe trouve une première ''preuve'' de la conjecture, mais onze ans plus tard Heawood y trouvera une faille majeure; il parviendra toutefois à trouver un théorème des cinq couleurs.
Une seconde ''preuve'' par Tait en 1880 sera de même réfutée par Petersen en 1891. - En 1913, le mathématicien américain George David BIRKHOFF (1884 - 1944), démontre la conjecture pour toutes les cartes comportant moins de 26 régions à colorier.
Cette borne est améliorée au cours du XXe siècle. - En 1969 Heesch trouve des conditions ''presque'' nécessaires et suffisantes pour qu'une configuration soit réductible, et une méthode générale pour trouver un ensemble inévitable de configurations.
La première preuve effectuée par ordinateur.
- Finalement, en 1976, le mathématiciens américains Kenneth Appel (décédé le 19 avril 2013 à 80 ans) et le mathématicien allemand Wolfgang Haken réalisent le programme de Heesch.
Ils montrent en utilisant des dizaines de milliers de figures, que toute carte non 4-coloriable doit contenir l'une des 1478 configurations, et, avec 1200 heures de calcul, que ces configurations sont réductibles.
C'est en fait la première preuve informatisée d'un théorème mathématique !
- En 1995, Robertson, Sanders, Seymour et Thomas mettent à profit la formidable accélération des ordinateurs pour trouver une réalisation nettement plus simple du programme de Heesch, avec seulement 633 configurations; de plus ils automatisent également la preuve d'inévitabilité.
- En Septembre 2012, six ans après la démonstration par ordinateur du théorème des quatre couleurs, Georges Gonthier et son équipe réussissent la démonstration du théorème de Feit et Thompson. Un théorème encore bien plus difficile à formaliser.
⇒ En savoir plus [...]





